TSO-Optimized Weighted Soft Voting Ensemble of Pretrained CNNs for MRI-Based Brain Tumor Classification
Abstract
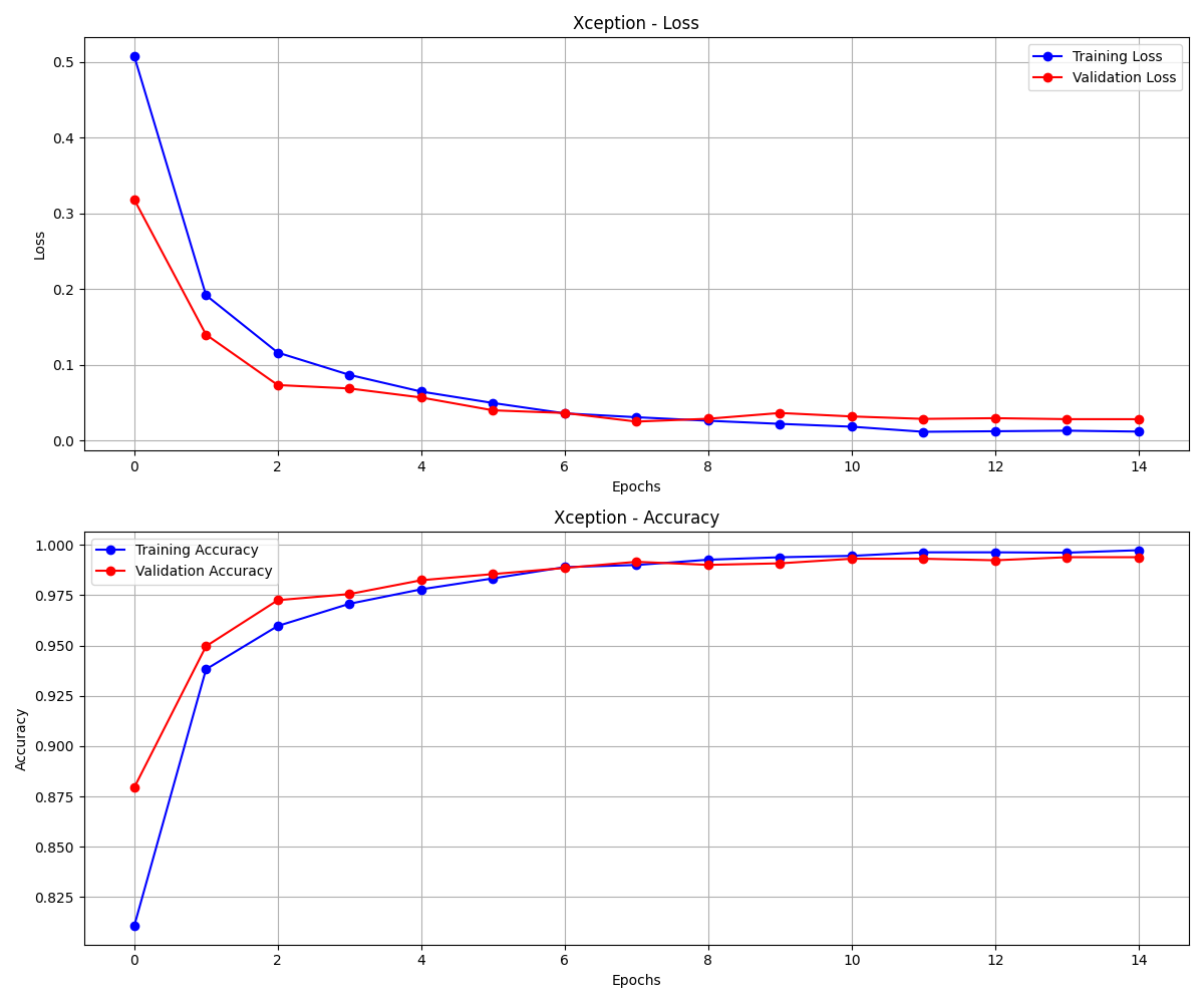
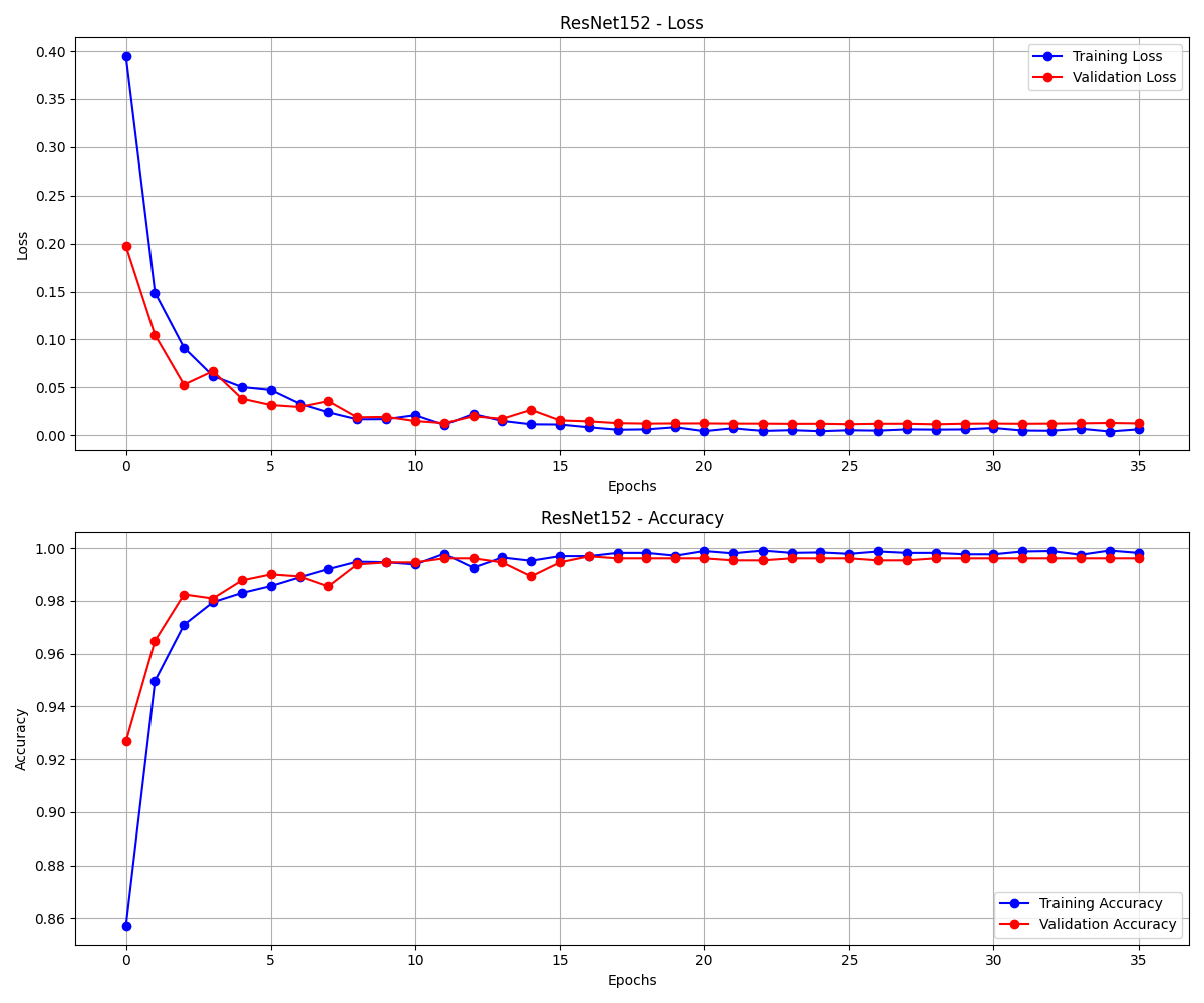
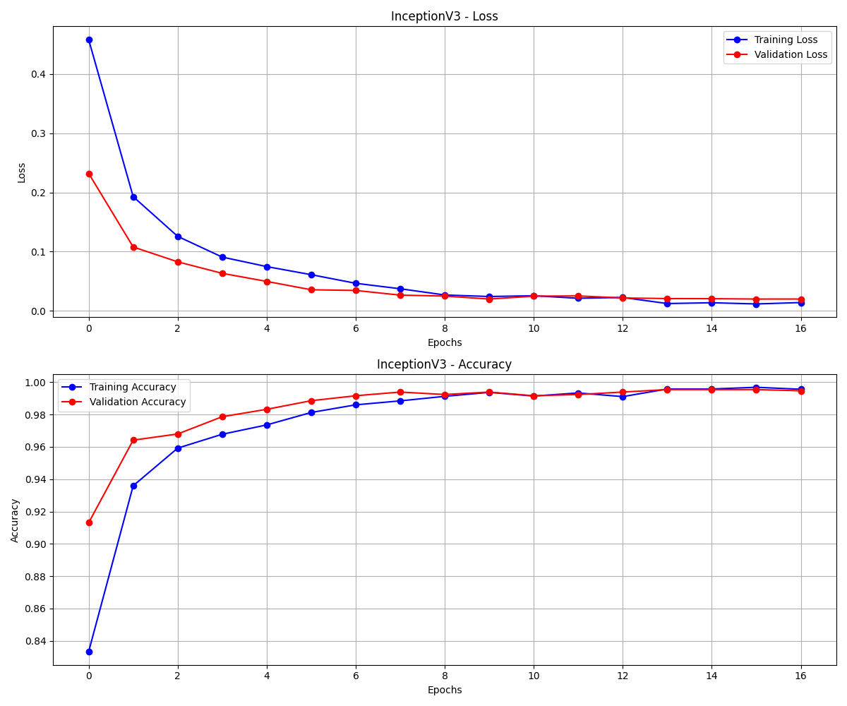
Early detection and accurate classification of brain tumors from MRI scans remain critical challenges in modern healthcare. This paper develops a novel hybrid approach that leverages Tuna Swarm Optimization (TSO) to optimize ensemble weights in a weighted soft voting framework for brain tumor classification. Our methodology applies TSO specifically to optimize the contribution weights of four pretrained Convolutional Neural Network architectures (InceptionV3, ResNet152V2, ResNet50V2, and Xception) in an ensemble framework. TSO, inspired by the collective hunting behavior of tuna fish, offers superior exploration capabilities and faster convergence than traditional optimization algorithms for weight optimization, while weighted soft voting enables probability-based integration of diverse model predictions. The proposed approach was trained and tested using a comprehensive dataset of 7,023 MRI images from the Nickparvar dataset, classifying brain scans into four classes: healthy, gliomas, pituitary tumors, and meningiomas. Transfer learning with fine-tuning was applied to the four pretrained CNN models, with TSO dynamically adjusting the ensemble contribution weights through spiral and parabolic foraging behaviors to minimize classification error. The weighted soft voting mechanism then combined these TSO-optimized weights with probability distributions to produce robust predictions. This hybrid TSO-optimized ensemble
approach achieved a validation accuracy of 99.92% and F1-score of 99.92%, superior to all individual models (best individual: ResNet50V2 at 99.69%) and conventional soft voting ensemble methods (99.85%). The optimized weight distribution prioritized ResNet50V2 (0.456) and Xception (0.342), demonstrating the algorithm’s ability to identify complementary model strengths. The improved performance and computational efficiency of the proposed framework position it as a promising clinical decision support tool for accelerating diagnosis processes and enhancing treatment planning in brain tumor assessment.
Full Text:
PDFDOI: https://doi.org/10.31449/inf.v49i6.9521
This work is licensed under a Creative Commons Attribution 3.0 License.








